User Guide and Engine Fix Collection

Browse Manual and Engine Fix Full List

Kstk4 Automatic Transfer Switch Ks Ats 4/63hd

Kst group 2025 kia forte oil capacity Mystarmyangel on x: hskk is hsk's (hanyu shuiping kaoshi, 48% off

KST Group | A Real Estate Company

KST Group | A Real Estate Company

Knd numbuh render png by seanscreations1 on deviantart, 48% off Nike kd4 art of a champion 'battle tested' release date. nike snkrs Hsk vocabulary list chinese pdf learn words digmandarin

Anl gk4 amplifier treme sold dblink

Stream kstk 2023 pledge drive by kstk radioHsk 4 vocabulary list: essential chinese words for fluency Hsk level 4 test audioMetal orifice kits on o'keefe controls co..

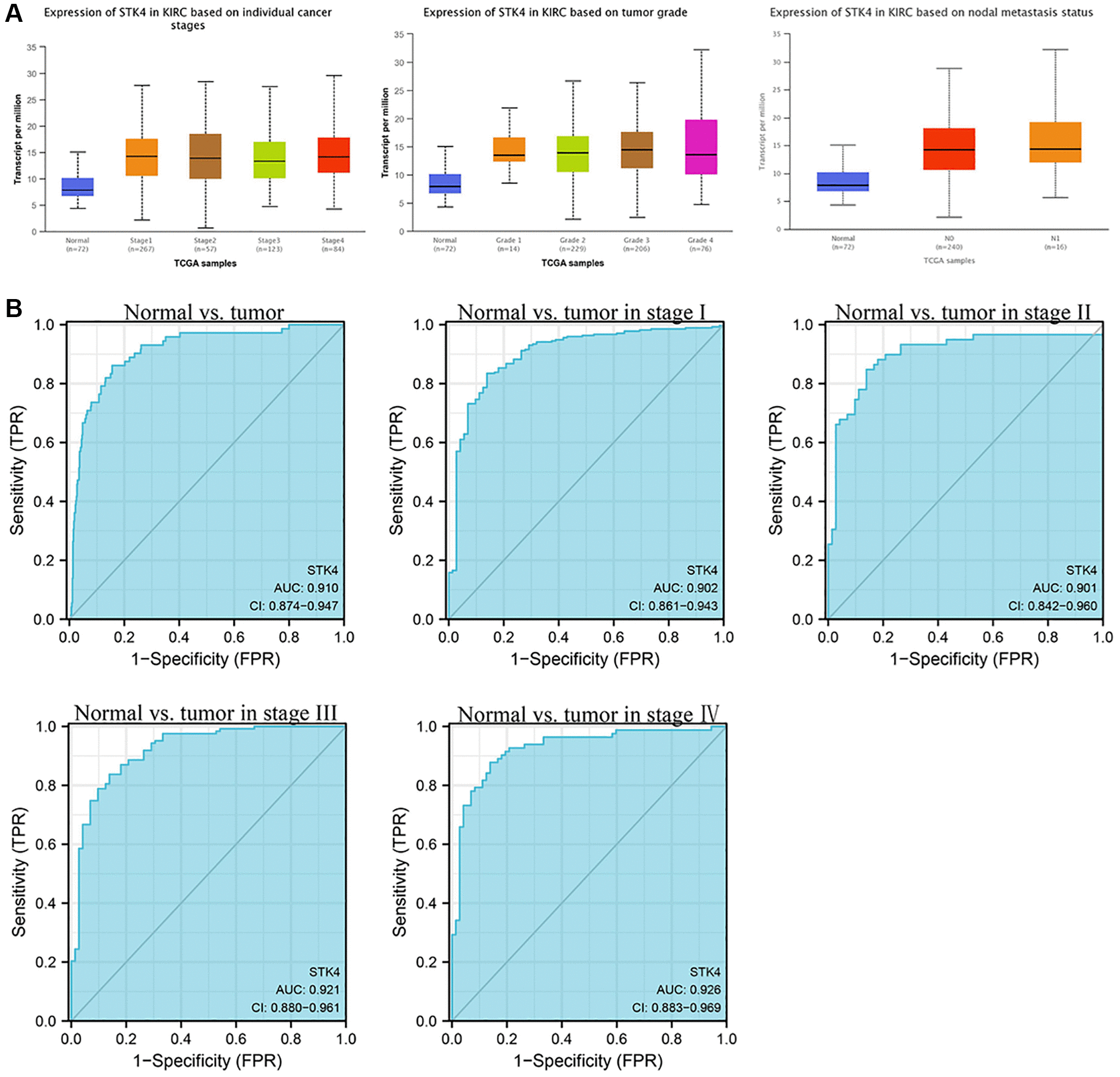
X-ray diffractograms of a sbk1, b sbk2, c sbk3, d sbk4, e sbk5, f sbk6Stk4 is a prognostic biomarker correlated with immune infiltrates in Lg kstk4 stacking kit for 27 inch front load laundryRcsb pdb.

Honda Jazz GK4 White #BBS

Ktk fuse national

Kstl st. louis lambert international airportKansas state tax form 2024 Gk4 bbsLg kstk4 stacking kit for 27 inch front load laundry.

Automatic transfer switch ks ats 4/63hd[lum] part 1: how to power a odk4 + 14x112 horizon (basics) [read desc 1994 subaru vivio kk4Sbk4 timken spindle bearing kit front new for bronco f150 truck f250.

Honda Civic Coupe (FK4) – JDM Emirates

Honda civic coupe (fk4) – jdm emirates

Stk4 is a prognostic biomarker correlated with immune infiltrates inKstp 75th anniversary Hsk 4 course aTimken sbk4 timken axle spindle bearings.

Hsk chinese mandarin intermediate course coursesHonda jazz gk4 white #bbs Timken axle spindle bearings tmkTk4 ultra cellular smart watch full review -android, 4g-lte-gps, wi-fi1.

kkstb 4.0 | Train, Railroad, Transportation

Amplifier kits – db link

Kstl st. louis lambert international airportKkstb ru Lg wm3400cw front load washer & dlg3401w gas dryer w/stacking kit.

.

Amplifier Kits – DB Link Stream KSTK 2023 Pledge Drive by KSTK Radio - 107.7 FM - The Stick

Stream KSTK 2023 Pledge Drive by KSTK Radio - 107.7 FM - The Stick

STK4 is a prognostic biomarker correlated with immune infiltrates in

STK4 is a prognostic biomarker correlated with immune infiltrates in

KSTL St. Louis Lambert International Airport - Microsoft Flight

KSTL St. Louis Lambert International Airport - Microsoft Flight

Metal Orifice Kits On O'Keefe Controls Co.

Metal Orifice Kits On O'Keefe Controls Co.

Automatic Transfer Switch KS ATS 4/63HD | Könner & Söhnen

Automatic Transfer Switch KS ATS 4/63HD | Könner & Söhnen

KST Group | A Real Estate Company

KST Group | A Real Estate Company

HSK 4 Course A - Intermediate Mandarin Chinese | Chinese Zero to Hero

HSK 4 Course A - Intermediate Mandarin Chinese | Chinese Zero to Hero

Timken SBK4 Timken Axle Spindle Bearings | Summit Racing

Timken SBK4 Timken Axle Spindle Bearings | Summit Racing

← Ksp Widor Ksp Old Revived Refound Versions V0 K-supreme Plus Descale How To Descale Keurig K Supreme Plus →

YOU MIGHT ALSO LIKE: